DevGang
[CA-02] 논리 게이트 본문
1. 논리 게이트의 종류
- AND - 논리곱/직렬회로
- OR - 논리합/병렬회로

2. 논리식으로 표현












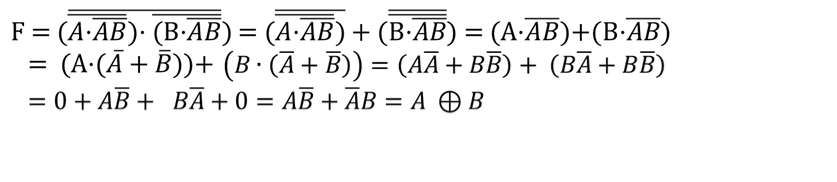
3. 논리회로를 논리식으로 표현


4. 입력 값이 주어졌을 때, 출력 값 구하기






5. 출력 값이 주어졌을 때, 입력 값 구하기


'정보처리 > CA' 카테고리의 다른 글
| [CA-06] 자료의 내부적 표현 (0) | 2021.02.06 |
|---|---|
| [CA-05] 진법과 보수 (0) | 2021.02.06 |
| [CA-04] 순서 논리회로 (0) | 2021.02.06 |
| [CA-03] 조합 논리회로 (0) | 2021.02.06 |
| [CA-01] 논리 회로 (0) | 2021.02.06 |
Comments