DevGang
[CA-04] 순서 논리회로 본문
1. 순서 논리회로
- 정의 : 외부로부터의 입력과 현재 상태에 따라 출력이 결정되는 회로
- 종류 : 플립플롭, 카운터, 레지스터, RAM, CPU 등
2. 플립플롭(FF, Flip-Flop)
- 전원이 공급되고 있는 한, 상태의 변화를 위한 신호가 발생할 때까지 현 상태를 그대로 유지
- 1비트(bit)를 기억하는 메모리 소자
- 어느 한 상태에서 다른 상태로 동작하기 위해서는 외부의 영향이 작용하여야 함
- RS-FF, D-FF, JK-FF, T-FF, RST-FF, 마스터-슬레이브 FF
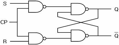
3. RS 플립플롭(Reset-Set FF)
- S와 R선의 입력을 조절하여 임의의 Bit값을 그대로 유지시키거나 무조건 0 또는 1의 값을 기억시키기 위해서 사용되는 플립플롭




4. D 플립플롭(Delay FF)
- RS FF의 R선에 인버터를 추가하여 S선과 하나로 묶어서 입력선을 하나만 구성한 플립플롭, 입력값이 그대로 저장하는 기능을 수행




5. JK 플립플롭
- RS FF에서 S=R=1일 때 동작되지 않는 결점을 보완한 플립플롭
- RS FF의 입력선 S와 R을 JK FF의 입력선 J와 K로 사용


6. T 플립플롭(Toggle FF)
- JK FF의 두 입력선을 묶어서 한 개의 입력선으로 구성한 플립플롭
- 플립플롭 중 입력단자가 하나이며 “1”이 입력될 때마다 출력 단자의 상태가 바뀜



'정보처리 > CA' 카테고리의 다른 글
| [CA-06] 자료의 내부적 표현 (0) | 2021.02.06 |
|---|---|
| [CA-05] 진법과 보수 (0) | 2021.02.06 |
| [CA-03] 조합 논리회로 (0) | 2021.02.06 |
| [CA-02] 논리 게이트 (0) | 2021.02.06 |
| [CA-01] 논리 회로 (0) | 2021.02.06 |
Comments